Чтобы определить, какой цепи принадлежит приведенная функция комплексного коэффициента передачи, нам нужно рассмотреть несколько шагов:
- Определите функцию комплексного коэффициента передачи: Обычно функция комплексного коэффициента передачи обозначается как H(s), где s - комплексная переменная. Функция может быть представлена в виде дроби, например, H(s) = N(s) / D(s), где N(s) - числитель, а D(s) - знаменатель.
- Анализируйте порядок системы: Посмотрите на степень многочлена в числителе и знаменателе. Если степень в знаменателе больше, чем в числителе, то система является устойчивой. Если степени равны, то система может быть критически устойчивой или неустойчивой в зависимости от коэффициентов.
- Определите тип системы: В зависимости от формы функции H(s), можно определить тип системы:
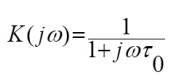
- Если H(s) имеет вид H(s) = K / (s + a), то это может быть простая цепь первого порядка.
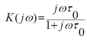
- Если H(s) имеет вид H(s) = K / (s^2 + as + b), это может быть цепь второго порядка.
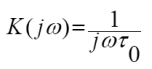
- Если есть дополнительные элементы, такие как интеграторы или дифференциаторы, это также повлияет на тип системы.
- Определите параметры системы: Изучите коэффициенты в функции передачи. Они помогут вам понять, какие элементы (резисторы, конденсаторы, индуктивности) могут быть использованы в цепи. Например, если в H(s) присутствуют члены, которые соответствуют частотным характеристикам, это может указывать на резонансные свойства системы.
- Сравните с известными схемами: Используйте ваши знания о стандартных функциях передачи для различных типов цепей (например, RC-цепь, RL-цепь, RLC-цепь и т.д.) и сопоставьте их с вашей функцией H(s).
Таким образом, для того чтобы определить, какой цепи принадлежит приведенная функция комплексного коэффициента передачи, необходимо внимательно проанализировать функцию, ее структуру и параметры. Это поможет вам сделать вывод о типе и характеристиках соответствующей электрической цепи.