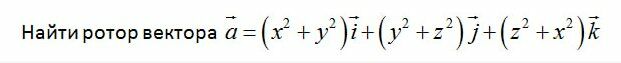
Найти ротор вектора a = (x2+y2)i+(y2+z2)j+(z2+x2)k
Другие предметы Колледж Ротор векторного поля векторный анализ ротор вектора вычисление ротора вектор a колледж примеры векторного анализа математические методы векторная алгебра
Чтобы найти ротор вектора a, который задан в виде a = (x² + y²)i + (y² + z²)j + (z² + x²)k, нам нужно воспользоваться определением ротора векторного поля. Ротор вектора a обозначается как rot a и вычисляется по формуле:
rot a = ∇ × a
Где ∇ - оператор набла, а × - знак векторного произведения. В трехмерном пространстве ротор можно вычислить с помощью определителя.
Шаги для вычисления ротора:
Таким образом, ротор вектора a равен:
rot a = -2zi - 2xj - 2yk