Назовите коэффициенты, позволяющие оценить стабилизирующее действие схемы смещения БПТ.



Другие предметы Колледж Схемы смещения в биполярных транзисторах коэффициенты стабилизирующего действия схемы смещения БПТ оценка схемотехники стабилизация БПТ схемотехника колледж
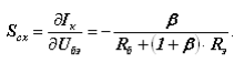
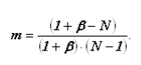
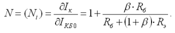
Схема смещения биполярного транзистора (БПТ) требует оценки стабилизирующего действия для обеспечения стабильной работы устройства. Для этого используются несколько ключевых коэффициентов, которые помогают понять, насколько эффективно схема смещения компенсирует изменения параметров транзистора и внешних условий. Рассмотрим основные коэффициенты:
Для оценки стабилизирующего действия схемы смещения БПТ важно учитывать все эти коэффициенты, так как они взаимодействуют друг с другом и влияют на общую стабильность работы транзистора в различных условиях.