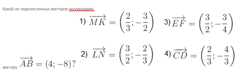
Какой из перечисленных векторов коллинеарен вектору
![]()
Другие предметы Университет Векторы и векторная алгебра векторы коллинеарность математика университет линейная алгебра векторная геометрия свойства векторов
Чтобы определить, какой из перечисленных векторов коллинеарен данному вектору, сначала необходимо понять, что означает коллинеарность векторов. Векторы коллинеарны, если они лежат на одной прямой или на параллельных прямых, что математически выражается как возможность представить один вектор как произведение другого вектора на некоторое скалярное число.
Предположим, у нас есть вектор A с координатами (a1, a2, a3) и вектор B с координатами (b1, b2, b3). Эти векторы коллинеарны, если существует такое число k (скаляр), что выполняются следующие равенства:
Чтобы проверить коллинеарность, выполните следующие шаги:
Пример:
Допустим, вектор A = (2, 4, 6) и вектор B = (4, 8, 12). Проверим их коллинеарность:
Поскольку все значения k равны 2, векторы A и B коллинеарны.
Таким образом, чтобы определить, какой из перечисленных векторов коллинеарен данному вектору, примените вышеописанный метод к каждому из них.