Усилители с контуром (петлей) обратной связи являются важными элементами в схемотехнике. Они используются для улучшения характеристик усилителей и повышения стабильности их работы. Рассмотрим основные показатели таких усилителей:
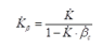
- Коэффициент усиления (A) - это отношение выходного сигнала к входному. В усилителях с обратной связью коэффициент усиления может быть значительно уменьшен по сравнению с безобратной связью, но это улучшает линейность и стабильность работы.
- Стабильность - усилители с обратной связью, как правило, более стабильны, чем безобратные. Обратная связь помогает уменьшить влияние изменений параметров компонентов на выходной сигнал.
- Полоса частот (BW) - это диапазон частот, в котором усилитель работает эффективно. Обратная связь может увеличивать полосу частот, что делает усилитель более универсальным в применении.
- Искажение сигнала - обратная связь позволяет значительно уменьшить искажения сигнала. Это особенно важно в аудиоаппаратуре, где качество звука имеет первостепенное значение.
- Шум - усилители с обратной связью могут иметь меньший уровень шума, поскольку обратная связь помогает подавить случайные флуктуации и помехи.
- Выходное сопротивление (Ro) - обратная связь может значительно снижать выходное сопротивление усилителя, что улучшает его совместимость с нагрузками.
Каждый из этих показателей важен для понимания работы усилителей с обратной связью и их применения в различных схемах. При проектировании таких усилителей необходимо учитывать все эти характеристики для достижения оптимальных результатов.