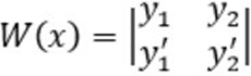
Определитель вида W(x) =│(y₁, y₂), (y'₁, y'₂)│ для двух дифференцируемых функций y₁ = y₁(x) и y₂ = y₂(x) называется определителем …

Другие предметы Университет Определитель Вронского определитель W(x) дифференцируемые функции Коши Вронский Лейбница математика в университете высшая математика теория определителей
Определитель вида W(x) = │(y₁, y₂), (y'₁, y'₂)│, где y₁ и y₂ - это две дифференцируемые функции, называется вронговым определителем или вронговым компонентом. Этот определитель используется в теории дифференциальных уравнений для изучения линейной независимости решений.
Чтобы понять, как он работает, давайте разберем его шаги:
Таким образом, вронгов определитель является важным инструментом в анализе решений дифференциальных уравнений.