Другие предметы Университет Уравнения гидродинамики гидравлические машины уравнение Бернулли давление в гидравлике уравнение Архимеда напор в гидравлике энергия в гидравлике
Давайте рассмотрим указанные вами уравнения и их формы, чтобы понять, как они связаны друг с другом и как используются в гидравлических машинах.
1. Уравнение Бернулли в форме давления:Уравнение Бернулли в форме давления выражает закон сохранения энергии для потока жидкости. Оно выглядит следующим образом:
P + 0.5 * ρ * v² + ρ * g * h = const
где:
В этой форме уравнение Бернулли фокусируется на напоре, который можно представить как сумму статического, кинетического и потенциального напора:
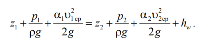
z + P/(ρg) + v²/(2g) = const
где z - геометрическая высота. Эта форма удобна для анализа систем, где важен именно напор.
3. Уравнение Архимеда:Уравнение Архимеда описывает подъемную силу, действующую на тело, погруженное в жидкость:
F = ρ * V * g
где F - подъемная сила, ρ - плотность жидкости, V - объем вытесненной жидкости, g - ускорение свободного падения. Это уравнение позволяет понять, как объекты взаимодействуют с жидкостью и как они могут плавать или тонуть.
4. Уравнение Бернулли в форме энергии:Эта форма уравнения Бернулли подчеркивает, что сумма всех форм энергии в потоке жидкости остается постоянной:
Энергия = Поступательная энергия + Потенциальная энергия + Энергия давления
Таким образом, уравнение Бернулли в форме энергии может быть представлено как:
H = z + P/(ρg) + v²/(2g) = const
Каждая из этих форм уравнений Бернулли и уравнение Архимеда важны для понимания поведения жидкостей в различных условиях. Они помогают инженерам и ученым проектировать и анализировать гидравлические системы, такие как насосы, турбины и другие машины, использующие потоки жидкости.