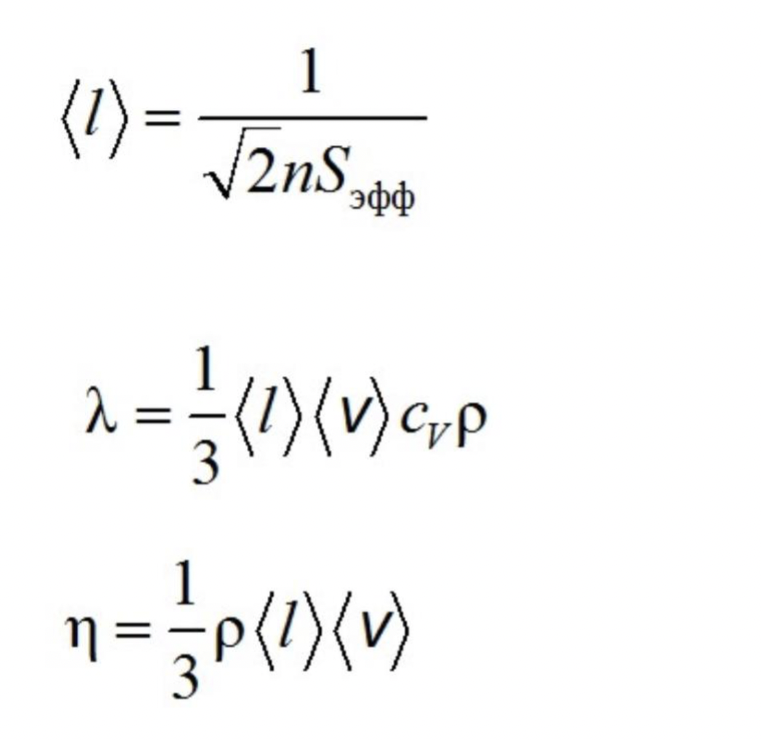
Укажите выражение для средней длины свободного пробега
![]()
Другие предметы Университет Кинетическая теория газов средняя длина свободного пробега физика университет формула статистика Молекулы кинетическая теория газ физические свойства термодинамика
Средняя длина свободного пробега – это важная характеристика, которая используется в кинетической теории газов. Она определяет среднее расстояние, которое молекула газа проходит между столкновениями с другими молекулами. Для нахождения этого значения можно использовать следующее выражение:
λ = 1 / (√2 * π * d² * n)
Где:
Теперь давайте разберем, как это выражение получается и какие шаги необходимо предпринять для его понимания:
Таким образом, средняя длина свободного пробега является важной характеристикой, которая помогает понять поведение газов на молекулярном уровне.