Очень срочно, пожалуйста!!
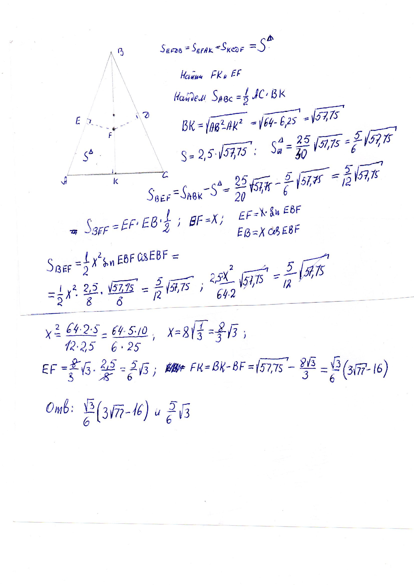
Равнобедренный треугольник со сторонами 8, 8 и 5 разделен на три равновеликие части перпендикулярами, проведенными из некоторой точки к его сторонам. Как найти расстояния от этой точки до каждой стороны треугольника? (рисунка в этой задаче не нарисовано в книге)
Геометрия 11 класс Параллельные прямые и перпендикуляры в треугольнике равнобедренный треугольник стороны 8 8 5 расстояние до сторон перпендикуляры равновеликие части геометрия 11 класс Новый
Для решения задачи начнем с анализа равнобедренного треугольника, у которого две стороны равны и равны 8, а основание равно 5. Давайте обозначим вершины треугольника как A, B и C, где стороны AB и AC равны 8, а основание BC равно 5.
Шаг 1: Найдем высоту треугольника.
Шаг 2: Найдем площадь треугольника.
Шаг 3: Найдем расстояния от точки до сторон.
Итак, расстояния от данной точки до каждой стороны равны (5 * √57.75) / 6. Это и будет ответ на вашу задачу.