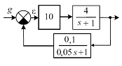
Найдите установившееся значение сигнала e в представленной на рис. 7.14 системе при g(t) = 1(t)

Другие предметы Университет Автоматическое управление схемотехника университет установившееся значение сигнала Система g(t) = 1(t) анализ схем электрические цепи теорема о передаче временные характеристики сигнал e
Для того чтобы найти установившееся значение сигнала e в системе при заданной функции g(t) = 1(t), нам нужно выполнить несколько шагов. Давайте рассмотрим процесс более подробно.
Шаг 1: Определение системыСначала необходимо понять, какова структура системы, представленная на рисунке 7.14. Обычно в схемотехнике это может быть система с обратной связью, где входной сигнал g(t) влияет на выходной сигнал e.
Шаг 2: Анализ входного сигналаВ данном случае g(t) = 1(t) представляет собой единичный ступенчатый сигнал. Это означает, что в момент времени t = 0 сигнал g(t) переходит из значения 0 в значение 1 и остается равным 1 для всех t > 0.
Шаг 3: Установившееся состояниеУстановившееся состояние системы достигается, когда все временные изменения прекращаются, и система перестает реагировать на изменения входного сигнала. В большинстве линейных систем это состояние достигается через некоторое время после приложения входного сигнала.
Шаг 4: Определение уравнения системыДля нахождения установившегося значения e необходимо знать уравнение системы. Например, если система описывается передаточной функцией H(s), то выходной сигнал E(s) можно выразить как:
где G(s) – это преобразование входного сигнала g(t) в частотной области.
Шаг 5: Применение теоремы о постоянной величинеДля ступенчатого сигнала g(t) = 1(t) преобразование в частотной области будет равно:
Теперь подставим G(s) в уравнение для E(s) и найдем E(s) в установившемся состоянии:
Теперь, чтобы найти установившееся значение e, нужно выполнить обратное преобразование Лапласа. Обычно для этого используются таблицы преобразований или методы частичного дробления.
Шаг 7: Подсчет установившегося значенияПосле нахождения E(s) мы можем определить, какое значение e будет в установившемся состоянии. Это значение будет равно пределу e(t) при t стремящемся к бесконечности.
ЗаключениеТаким образом, чтобы найти установившееся значение сигнала e в системе с g(t) = 1(t), необходимо проанализировать систему, определить ее уравнение, применить преобразования и выполнить обратное преобразование Лапласа. Если у вас есть конкретные данные о системе, такие как параметры передаточной функции, я смогу помочь вам более детально рассчитать установившееся значение.