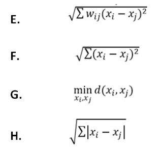
Установите соответствие видов расстояний в кластерном анализе и соответствующих им математических выражений:
A. Евклидово расстояние
B. Взвешенное евклидово расстояние
C. Расстояние по принципу «ближайшего соседа»
D. Манхэттенское расстояние

Другие предметы Университет Кластерный анализ современные методы сбора данных обработка экономических данных анализ социальных данных кластерный анализ евклидово расстояние манхэттенское расстояние методы анализа данных статистические методы обработка социальных данных математические выражения в анализе
В кластерном анализе расстояния между объектами играют важную роль в определении их схожести или различия. Рассмотрим виды расстояний и соответствующие им математические выражения:
Евклидово расстояние между двумя точками в n-мерном пространстве вычисляется по формуле:
D(A, B) = sqrt((x1 - x2)^2 + (y1 - y2)^2 + ... + (zn - zm)^2)
Взвешенное евклидово расстояние учитывает вес каждой координаты и вычисляется так:
D(A, B) = sqrt(w1 * (x1 - x2)^2 + w2 * (y1 - y2)^2 + ... + wn * (zn - zm)^2)
где w - веса, назначенные каждому измерению.
Это расстояние определяется как минимальное расстояние между объектами из разных кластеров. Формально:
D(A, B) = min{D(xi, yj)}, где xi и yj - точки из разных кластеров.
Манхэттенское расстояние определяется как сумма абсолютных разностей координат:
D(A, B) = |x1 - x2| + |y1 - y2| + ... + |zn - zm|
Таким образом, мы можем установить соответствие между видами расстояний и их математическими выражениями: