Выберите правильный ответ ∫ln2xdx
Другие предметы Колледж Интегралы и неопределённые интегралы интегралы математика колледж логарифмическая функция вычисление интеграла учебные материалы по математике
Чтобы решить данный интеграл, начнем с его анализа. Мы видим интеграл от функции, содержащей логарифм. В данном случае, нам нужно найти интеграл ∫ ln(2x) dx.
Для начала, давайте упростим функцию под интегралом. Мы можем воспользоваться свойством логарифмов:
Теперь мы можем записать интеграл как:
∫ ln(2x) dx = ∫ (ln(2) + ln(x)) dxТеперь мы можем разбить интеграл на два отдельных интеграла:
∫ ln(2) dx + ∫ ln(x) dxТеперь мы решим каждый из этих интегралов по отдельности:
Теперь подставим найденные интегралы обратно:
∫ ln(2x) dx = ln(2) * x + (x * ln(x) - x) + CГде C - произвольная постоянная интегрирования.
Теперь, если мы упрощаем это выражение, мы получаем:
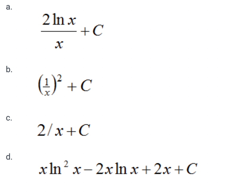
∫ ln(2x) dx = x * ln(x) + ln(2) * x - x + CТеперь давайте посмотрим на предложенные варианты ответов:
Сравнивая наш результат с предложенными вариантами, мы видим, что ни один из них не совпадает с полученным нами выражением. Возможно, в вопросе или в вариантах ответа есть ошибка.
Таким образом, правильный ответ на интеграл ∫ ln(2x) dx не представлен среди предложенных вариантов. Если у вас есть дополнительные вопросы или вы хотите рассмотреть другой интеграл, пожалуйста, дайте знать!