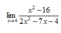
Чему равен?
Варианты ответа:
Другие предметы Университет Рациональные выражения математика университет задачи по математике высшая математика математические формулы учебные материалы по математике экзамены по математике подготовка к экзаменам решение математических задач
Чтобы решить данное уравнение, нам нужно понять, что именно мы ищем. Похоже, вы предоставили несколько вариантов ответов, но не указали, к какому уравнению или задаче они относятся. Давайте рассмотрим, как мы можем подойти к анализу данных вариантов.
Шаг 1: Понять вопрос
Сначала нужно определить, что именно мы хотим найти. Например, если это уравнение, то нам нужно будет его решить. Если это выражение, то мы можем упростить его.
Шаг 2: Анализ вариантов ответа
Шаг 3: Проверка каждого варианта
Если это задача на нахождение значения переменной x, вам нужно будет подставить разные значения x в выражения и посмотреть, какое из них будет равно искомому значению. Например:
Таким образом, вы можете проверить, какой из вариантов соответствует искомому значению.
Шаг 4: Заключение
Без дополнительной информации о том, что именно вы ищете, сложно дать точный ответ. Пожалуйста, уточните задачу или уравнение, чтобы я мог помочь вам более конкретно.