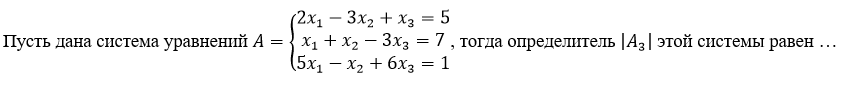
Пусть дана система уравнений А= 2x-3x+x=5 тогда определитель А3 этой системы равен...
Другие предметы Колледж Определители и системы линейных уравнений система уравнений высшая математика определитель колледж линейная алгебра решение уравнений математические методы анализ определителей
Давайте внимательно рассмотрим данную систему уравнений. Уравнение записано как:
A = 2x - 3x + x = 5
Первым шагом будет упрощение выражения слева. Мы видим, что у нас есть три члена: 2x, -3x, и +x. Давайте сложим их:
Таким образом, выражение слева становится:
0x = 5
Теперь, если мы посмотрим на это уравнение, оно не имеет смысла, поскольку 0 умноженное на любое число всегда равно 0, и оно не может быть равно 5. Это уравнение не имеет решений.
Далее, в вопросе упоминается "определитель A3 этой системы". Однако, данное уравнение не является системой уравнений, и определитель матрицы можно вычислить только для квадратных матриц, а не для отдельных уравнений.
Если бы у нас была система линейных уравнений в виде матрицы, мы могли бы вычислить определитель этой матрицы. Однако, в данном случае у нас просто одно уравнение, не имеющее смысла. Поэтому, определитель A3 не может быть вычислен.
Возможно, в вопросе допущена ошибка или недоразумение. Если у вас есть дополнительные данные или контекст, пожалуйста, уточните, и мы постараемся помочь вам с решением.