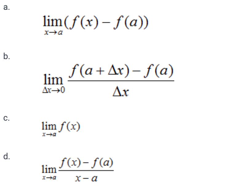
Пусть f : X → R, а - предельная точка множества X, a множество X. Производной функции f в точке a называется
![]()
Другие предметы Колледж Производная функции производная функции предельная точка множество X математика колледж анализ функций производная в точке математический анализ основы производной
Производная функции f в точке a определяется как предел отношения приращения функции к приращению аргумента, когда аргумент стремится к точке a. Формально это выражается следующим образом:
Определение производной:
Если функция f определена в некоторой окрестности точки a, и существует предел:
f'(a) = lim (h → 0) (f(a + h) - f(a)) / h
то мы говорим, что производная функции f в точке a существует и равна f'(a).
Теперь давайте разберем шаги, которые необходимо выполнить для нахождения производной функции в точке:
Важно помнить, что производная показывает, как быстро изменяется функция f в точке a и является основным понятием в математическом анализе.