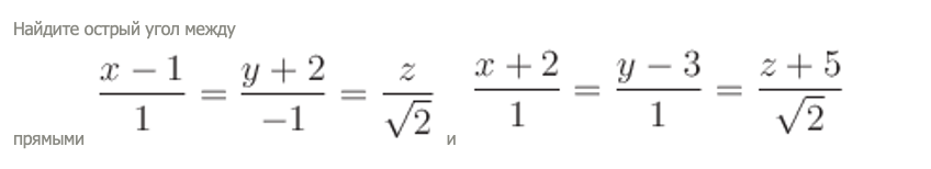
Найдите острый угол между прямыми и ![]()
Другие предметы Университет Углы между прямыми острый угол Прямые математика университет угол между прямыми
Чтобы найти острый угол между двумя прямыми, нам нужно использовать их угловые коэффициенты. Давайте рассмотрим шаги, которые помогут нам решить эту задачу.
Шаг 1: Определение угловых коэффициентовПредположим, что у нас есть две прямые, заданные уравнениями:
Где k1 и k2 - угловые коэффициенты этих прямых. Угловые коэффициенты можно найти, если у вас есть уравнения прямых в стандартной форме.
Шаг 2: Формула для нахождения углаУгол θ между двумя прямыми можно найти с помощью следующей формулы:
tan(θ) = |(k1 - k2) / (1 + k1 * k2)|
Где θ - угол между прямыми, а k1 и k2 - угловые коэффициенты. Обратите внимание, что мы берем абсолютное значение, чтобы получить острый угол.
Шаг 3: Вычисление углаЕсли необходимо, преобразуйте полученное значение угла из радиан в градусы, умножив его на (180/π).
Теперь вы знаете, как найти острый угол между двумя прямыми! Если у вас есть конкретные значения для угловых коэффициентов, я могу помочь вам с расчетами.