Плотность распределения случайной величины – это функция, которая описывает вероятность того, что случайная величина примет определенное значение. Рассмотрим основные свойства плотности распределения:
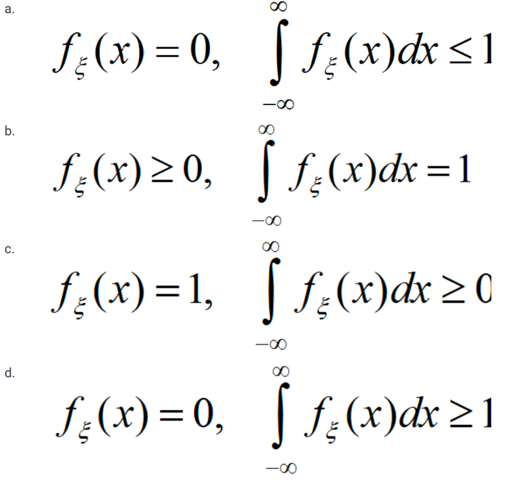
- Неотрицательность: Плотность распределения всегда неотрицательна для всех значений случайной величины. Это означает, что для любой точки x выполняется условие f(x) ≥ 0.
- Нормировка: Интеграл плотности распределения по всей области определения должен равняться единице. Это можно записать как: ∫ f(x) dx = 1, где интеграл берется по всей области значений случайной величины.
- Вероятность: Вероятность того, что случайная величина X примет значение в интервале [a, b] определяется интегралом плотности распределения на этом интервале: P(a ≤ X ≤ b) = ∫[a, b] f(x) dx.
- Постоянство на интервалах: Если плотность распределения постоянна на некотором интервале, то вероятность попадания случайной величины в этот интервал пропорциональна длине интервала.
- Сумма вероятностей: Для дискретной случайной величины сумма вероятностей всех возможных значений должна равняться единице, аналогично нормировке для непрерывной случайной величины.
Эти свойства помогают анализировать и интерпретировать поведение случайных величин в вероятностной теории и статистике.