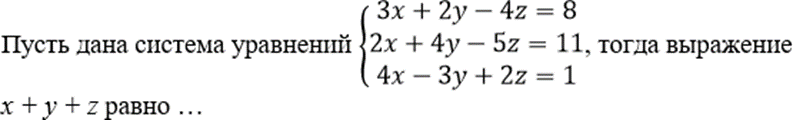
Пусть дана система уравнений 32х+4у-5z = 11, тогда выражение 4x-3y + 2z = 1 3x+2y-4z = 8
-x + y + z равно ...
Другие предметы Университет Системы линейных уравнений система уравнений математика университет решение уравнений линейные уравнения математические задачи анализ системы уравнений
Давайте решим систему уравнений и найдем значение выражения, которое нам нужно. У нас есть три уравнения:
Начнем с того, что выразим одно из переменных через другие из первого уравнения. Например, выразим z:
Теперь подставим это значение z во второе и третье уравнения:
Это уравнение можно решить аналогичным образом. Однако, чтобы упростить процесс, можно использовать метод подстановки или метод Гаусса для нахождения значений x, y и z. После нахождения значений переменных, мы можем подставить их в выражение:
4x - 3y + 2z.
После всех вычислений мы получим значение искомого выражения. Важно помнить, что точные значения x, y и z будут зависеть от решения системы уравнений. Если вы хотите, я могу помочь с конкретными вычислениями или объяснить, как использовать численные методы для решения системы.