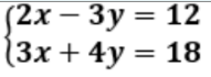
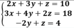
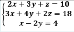
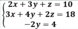
Установите соответствие между уравнением и его значением.
| Система уравнений | Корни |
![]() | |
![]() | |
![]() | |
![]() | |
![]() | |
Другие предметы Университет Системы уравнений уравнение система уравнений корни математика университет соответствие значение уравнения решение уравнений
Чтобы установить соответствие между системой уравнений и ее корнями, необходимо рассмотреть, что такое система уравнений и как найти ее корни.
Система уравнений — это набор двух или более уравнений, которые необходимо решить одновременно. Корни системы — это значения переменных, которые удовлетворяют всем уравнениям в системе.
Рассмотрим шаги для решения системы уравнений:
Теперь, чтобы установить соответствие между уравнением и его значением, нужно:
Если у вас есть конкретная система уравнений и ее корни, пожалуйста, предоставьте их, и я помогу вам установить соответствие между ними.