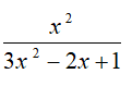
Значение функции при x → ∞ равно …
Другие предметы Университет Пределы функций значение функции предел функции математика университет предельное значение асимптотическое поведение
Чтобы определить значение функции при x → ∞, нам необходимо рассмотреть саму функцию. Обычно это функция, которая может быть представлена в виде математического выражения, например, f(x) = 1/x, f(x) = x^2, f(x) = e^(-x) и т.д.
Давайте разберем общий подход к нахождению предела функции при x, стремящемся к бесконечности:
Если у вас есть конкретная функция, которую нужно проанализировать, пожалуйста, предоставьте её, и я помогу вам найти значение при x → ∞ более детально.