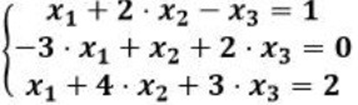
Дана система уравнений {x₁ + 2 ⋅ x₂ − x₃ = 1, −3 ⋅ x₁ + x₂ + 2 ⋅ x₃ = 0, x₁ + 4 ⋅ x₂ + 3 ⋅ x₃ = 2 Решая уравнение методом Гаусса, какие действия необходимо совершить?
Другие предметы Колледж Системы линейных уравнений метод Гаусса система уравнений расширенная матрица алгебраические преобразования элементарные преобразования эквивалентная система значения неизвестных колледж математика
Для решения данной системы уравнений методом Гаусса, нам необходимо выполнить несколько шагов. Давайте разберем их подробно.
Сначала мы представим нашу систему уравнений в виде расширенной матрицы. Система уравнений выглядит следующим образом:
Расширенная матрица будет выглядеть так:
[ 1 2 -1 | 1 ]
[ -3 1 2 | 0 ]
[ 1 4 3 | 2 ]
Теперь мы будем выполнять элементарные преобразования строк, чтобы привести матрицу к верхнетреугольному виду. Это включает в себя:
Например, мы можем начать с того, чтобы сделать первый элемент первого столбца равным 1 и затем использовать его для обнуления элементов под ним.
После выполнения элементарных преобразований мы получим эквивалентную систему уравнений. Это будет система, в которой мы сможем легко найти значения переменных.
После того как мы привели матрицу к верхнетреугольному виду, мы будем выполнять обратный ход Гаусса, чтобы найти значения переменных. Мы начнем с последнего уравнения и будем подставлять найденные значения в предыдущие уравнения, чтобы найти значения остальных переменных.
Таким образом, правильный ответ на ваш вопрос:
Записать расширенную матрицу системы; выполнить элементарные преобразования; получить эквивалентную систему уравнений; совершить обратный ход Гаусса, вычислив значения неизвестных.