Чтобы найти неопределенный интеграл ∫e^x√(1 - e^x) dx, мы можем использовать метод подстановки. Давайте рассмотрим шаги решения:
- Выбор подстановки: Мы заметим, что в нашем интеграле присутствует выражение 1 - e^x. Поэтому мы можем сделать подстановку:
- Нахождение производной: Теперь найдем производную u по x:
- du/dx = -e^x.
- Отсюда, dx = -du/e^x.
- Подстановка в интеграл: Теперь подставим u и dx в наш интеграл:
- Когда e^x = 1 - u, то √(1 - e^x) = √u.
- Таким образом, наш интеграл становится:
- ∫e^x√(1 - e^x) dx = ∫(1 - u)√u (-du/(1 - u)).
- Упрощаем интеграл:
- ∫-√u du.
- Интегрирование: Теперь мы можем интегрировать -√u:
- ∫-√u du = - (2/3)u^(3/2) + C, где C - константа интегрирования.
- Возвращаемся к исходной переменной: Теперь подставим обратно u:
- u = 1 - e^x.
- Таким образом, наш интеграл равен:
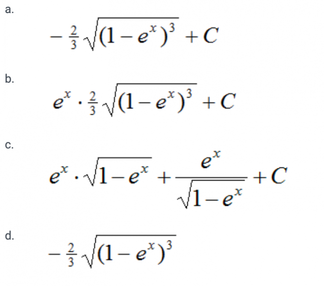
- - (2/3)(1 - e^x)^(3/2) + C.
Ответ: Неопределенный интеграл ∫e^x√(1 - e^x) dx = - (2/3)(1 - e^x)^(3/2) + C.