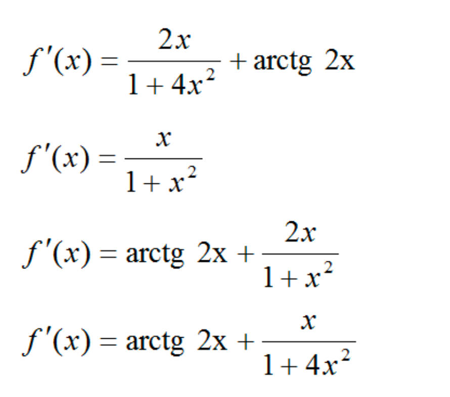
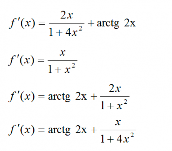
Найдите производную функции f(x) =x * -arctg 2x:
Другие предметы Университет Производные функций производная функции математика университет f(x) = x * -arctg 2x вычисление производной арктангенс правила дифференцирования
Чтобы найти производную функции f(x) = x * -arctg(2x), мы воспользуемся правилом произведения и правилом дифференцирования сложной функции. Давайте рассмотрим шаги более подробно.
Таким образом, производная функции f(x) = x * -arctg(2x) равна:
f'(x) = -arctg(2x) - (2x / (1 + 4x^2)).
Обратите внимание, что среди предложенных вами вариантов ответа такого выражения нет. Пожалуйста, проверьте свои варианты или уточните вопрос.