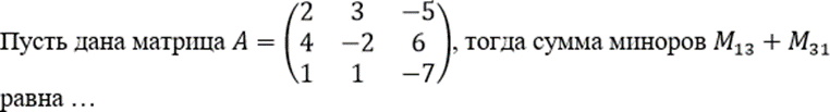
Пусть дана матрица А =426 тогда сумма миноров М13 + М31 1 1 -7/ равна ...
![]()
Другие предметы Университет Определители и миноры матриц матрица сумма миноров М13 М31 линейная алгебра университетская математика вычисление миноров матричные операции высшая математика задачи по математике
Чтобы найти сумму миноров M13 и M31 матрицы A, нам нужно сначала понять, что такое минор. Минор Mij - это определитель матрицы, полученной из исходной матрицы путем удаления i-й строки и j-го столбца.
Давайте рассмотрим матрицу A:
Матрица A имеет размер 2x3. Это значит, что она не является квадратной, и мы не можем применить стандартное правило для вычисления определителя. Однако, мы можем вычислить миноры, поскольку они требуют удаления строк и столбцов.
Таким образом, сумма миноров M13 + M31 равна 1 + 1 = 2.