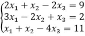
Пусть дана система уравнений A = {2x₁ + x₂ − 2x₃ = 9, 3x₁ − 2x₂ + x₃ = 2, x₁ + x₂ − 4x₃ = 11, тогда определитель |A| этой системы равен

Другие предметы Университет Определители и системы линейных уравнений система уравнений математика университет определитель A x1 x2 X3 решение уравнений линейная алгебра
Чтобы найти определитель матрицы системы уравнений, сначала запишем коэффициенты уравнений в виде матрицы. Ваша система уравнений выглядит следующим образом:
Из этих уравнений мы составим матрицу коэффициентов:
A =
| 2 1 -2 |
| 3 -2 1 |
| 1 1 -4 |
Теперь мы можем найти определитель этой матрицы. Определитель 3x3 матрицы можно вычислить по формуле:
|A| = a(ei - fh) - b(di - fg) + c(dh - eg)
где:
В нашем случае:
Теперь подставим эти значения в формулу для вычисления определителя:
Теперь подставим эти результаты в формулу для определителя:
|A| = 2(7) - 1(-13) + (-2)(5)
Теперь вычислим:
Теперь сложим все эти значения:
|A| = 14 + 13 - 10 = 17
Таким образом, определитель матрицы данной системы уравнений равен 17.